Самостопорная гайка с "плавающим" сердечником LAS/LAC

Материал: LAS/LAC

Описание
Размеры
Чертеж

Описание

Самостопорящаяся гайка с «плавающим» сердечником

Назначение:
Гайка предназначена для соединения несоосных отверстий с возможностью радиального перемещения до 0,8 мм. Конструкция с «плавающим» сердечником обеспечивает надёжное соединение и компенсирует небольшие отклонения при монтаже.
Преимущества:
  • Самостопорящийся механизм предотвращает самоотвинчивание при вибрациях и нагрузках.
  • Плавающий сердечник облегчает установку в условиях несовпадения осей отверстий.
  • Высокая прочность и долговечность.
Материалы исполнения:
  • LAS – оцинкованная сталь (повышенная коррозионная стойкость).
  • LAC – нержавеющая сталь (максимальная устойчивость к коррозии, подходит для агрессивных сред).

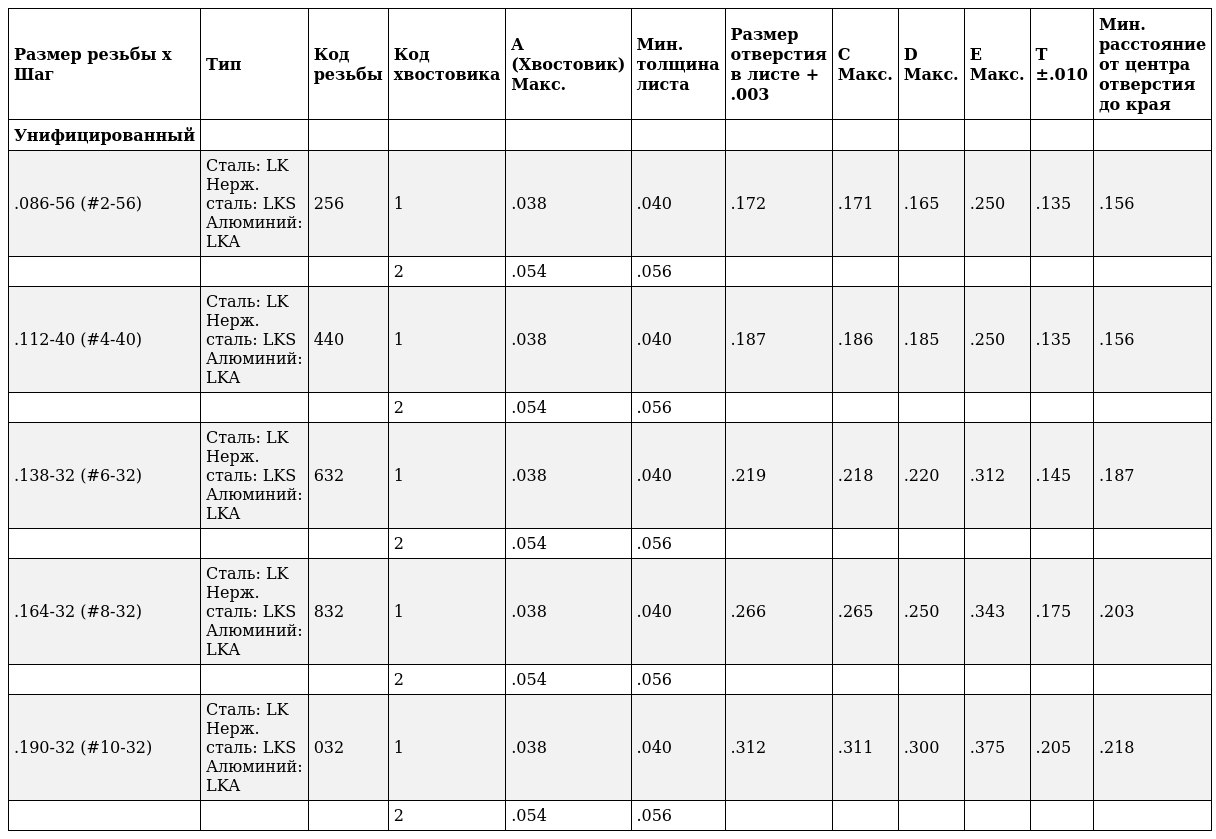
Размеры

Чертеж